The fiber optic test method for measuring the attenuation or optical loss of an deployed optical fiber using an OTDR (Optical Time Domain Reflectometer) is specified in IEC 60793-1-44C or EIA/TIA-455-61. The accuracy of these test methods depends on input parameters such as source wavelength, pulse duration, Refractive index values and fiber length (Range) into the OTDR before starting measurement. Refractive index values plays a major role especially to determine the accurate length of the fiber under test. The group index (N) is provided by fiber manufacturers. Alternatively if you follow the testing procedures described in EIA/TIA-455-60 you can find the refractive index. You need to buy the standard from EIA/TIA. By entering correct test parameters, OTDR fiber attenuation values will closely coincide with those measured by the cutback technique.
Testing technicians connect the optical fiber to be tested directly to the OTDR or to a dead-zone fiber. This dead-zone fiber is placed between the test fiber and OTDR to reduce the effect of the initial reflection at the OTDR on the fiber measurement. Also lower order modes will travel certain distance, which we need to eliminate during measurement to get accurate results. The dead-zone fiber is inserted because minimizing the reflection at a fiber joint is easier than reducing the reflection at the OTDR connection.
The figure below illustrates the OTDR measurement points for measuring the attenuation of the test fiber using a dead-zone fiber. Attenuation between two points along the optical fiber under test is measured on gradual downsloping sections on the OTDR trace. Many operators do not tolerate the point defects in their optical network as they will add up to increase the total loss. Their specificaitons often say “there should be no point defects present along the portion of fiber being tested”. However, international standards allow a point defect of less than or equal to 0.05 dB/km since such minor values comes under the measurement uncertaintly levels.
OTDR measurement points for measuring fiber attenuation using a dead-zone fiber
OTDRs are equipped with either manual or automatic cursors to locate points of interest along the trace. In figure 5-14, a cursor is positioned at a distance zo on the rising edge of the reflection at the end of the dead-zone fiber. Cursors are also positioned at distances z1 and z2. The cursor positioned at z1 is just beyond the recovery from the reflection at the end of the dead-zone fiber. Since no point defects are present in figure 5-14, the cursor positioned at z2 locates the end of the test fiber. Cursor z2 is positioned just before the output pulse resulting from Fresnel reflection occurring at the end of the test fiber.
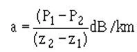
The attenuation of the test fiber between points z1 and z2 is (P1 – P2) dB. The attenuation coefficient (a) is
The total attenuation of the fiber including the dead zone after the joint between the dead-zone fiber and test fiber is
If fiber attenuation is measured without a dead-zone fiber, z0 is equal to zero (z0 = 0).
At any point along the length of fiber, attenuation values can change depending on the amount of optical power backscattered due to Rayleigh scattering. The amount of backscattered optical power at each point depends on the forward optical power and its backscatter capture coefficient. The backscatter capture coefficient varies with length depending on fiber properties. Fiber properties that may affect the backscatter coefficient include the refractive index profile, numerical aperture (multimode), and mode-field diameter (single mode) at the particular measurement point. The source wavelength and pulse width may also affect the amount of backscattered power.
By performing the OTDR attenuation measurement in each direction along the test fiber, test personnel can eliminate the effects of backscatter variations. Attenuation measurements made in the opposite direction at the same wavelength (within 5 nm) are averaged to reduce the effect of backscatter variations. This process is called bidirectional averaging. Bidirectional averaging is possible only if test personnel have access to both fiber ends. OTDR attenuation values obtained using bidirectional averaging should compare with those measured using the cutback technique in the laboratory.



Post a Comment